合作客戶/
拜耳公司 |
同濟大學 |
聯合大學 |
美國保潔 |
美國強生 |
瑞士羅氏 |
相關新聞Info
-
> LB 膜分析儀——簡單Langmuir-Schaefer法製備蛋白質納米孔膜
> DEAE-瓊脂糖LB膜的製備方法、最佳成膜濃度及表麵電勢測定
> 10種常用表麵活性劑水溶液的表麵張力測定、泡沫的產生和測試(二)
> 雙子型起泡劑ULT-1的分子結構式、表麵張力、抗溫/抗鹽性能及煤樣潤濕性變化——結果與討論、結論
> 多相凝聚體係的界麵張力計算方法及研究進展
> 高性能氟碳防水鎖劑(FS-1)對鹽水溶液表麵張力的影響
> 高壓CO2對表麵活性劑水溶液與原油界麵張力、原油乳化的影響——摘要、實驗部分
> UV油墨印刷的領域及印刷工藝適應性
> 二甲亞碸與二甲苯異構體混合物的體積收縮與表麵張力降低效應(一)
> 基於表麵張力測定探究油酸乙酯對油酸鈉浮選石英的促進作用機理
推薦新聞Info
-
> 二甲亞碸與二甲苯異構體混合物的體積收縮與表麵張力降低效應(二)
> 二甲亞碸與二甲苯異構體混合物的體積收縮與表麵張力降低效應(一)
> 表麵能與表麵張力對凍幹製劑中“小瓶霧化”現象的影響機製研究
> 新型懸滴實驗係統的研製與二甲基亞碸/甲醇混合物表麵張力測量(二)
> 新型懸滴實驗係統的研製與二甲基亞碸/甲醇混合物表麵張力測量(一)
> 噻噸酮光敏劑體係:光電轉換與顯色特性的深度解析
> 溫度、締合強度、截斷半徑對球形空腔中締合流體界麵張力的影響(二)
> 溫度、締合強度、截斷半徑對球形空腔中締合流體界麵張力的影響(一)
> 一文讀懂什麽是粉色视频APP在线观看高清观看
> LiF-CaF₂-Yb₂O₃熔鹽體係表麵張力的測定及其對Ni-Yb合金電解的指導意義(二)
LiF-CaF₂-Yb₂O₃熔鹽體係表麵張力的測定及其對Ni-Yb合金電解的指導意義(二)
來源:《有色金屬科學與工程》 瀏覽 89 次 發布時間:2025-12-02
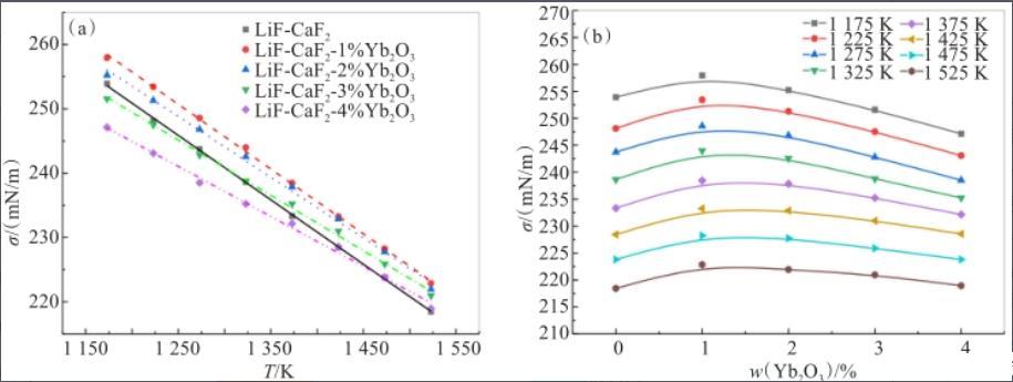
2.1.2 LiF-CaF2-Yb2O3體係表麵張力變化規律
研究表明在1 173~1 523 K溫度範圍內,(LiF-CaF2)etu體係中Yb2O3溶解度低於2%(質量分數),因此,圖3(a)中為一定Yb2O3含量下(LiF-CaF2)etu-Yb2O3體係表麵張力隨溫度的變化規律,可以看出,在1 173~1 523 K範圍內,一定Yb2O3含量的(LiF-CaF2)etu-Yb2O3體係表麵張力隨著溫度的升高而降低,原因是溫度的升高致使熔體表麵層離子或團簇具備較高的動能和較低的解離能,陰陽離子之間的相互吸引作用減弱。
圖3(b)為特定溫度下(LiF-CaF2)etu-Yb2O3體係表麵張力隨Yb2O3含量的變化規律,可以看出,表麵張力與Yb2O3的溶解度之間密切相關。當Yb2O3的質量分數為0~2%時,Yb2O3在LiF-CaF2體係內被充分溶解,體係的表麵張力在Yb2O3的質量分數為1%時達到最高值。隨著Yb2O3的質量分數進一步增加,達到過飽和狀態,體係的表麵張力出現減小,分析原因認為Yb2O3的加入會導致(LiF-CaF2)etu體係的離子構成形式發生變化,從而使表麵層和體相離子團簇構成形式發生變化。
由於(LiF-CaF2)etu體係中Yb2O3的溶解度較小,(LiF-CaF2)etu體係中主體結構不會發生根本性變化,但可以確定在Yb2O3的溶解量為0~2%(質量分數)時,體係內部會產生吸引作用力強的離子團簇,使其表麵張力增加。隨著Yb2O3含量的增加,體係表麵層中離子結構發生變化,削弱了表麵層離子或團簇的吸引作用,導致表麵張力下降。擬合圖3(b)中數據可以得到LiF-CaF2-Yb2O3熔鹽體係表麵張力的回歸方程式(4)。
σ=363.190-0.940x-0.092T(4)
圖3溫度(a)和Yb2O3含量(b)對LiF-CaF2熔鹽體係表麵張力的影響
2.2 Ni-Yb合金的表麵張力
綜合LiF-CaF2-Yb2O3體係和Ni-Yb合金表麵張力變化規律,表明隨電解溫度的升高,LiF-CaF2-Yb2O3熔鹽體係的表麵張力減小,但僅在220~260 mN/m較小範圍內變化。Yb2O3在LiF-CaF2-Yb2O3體係中的含量引起的張力變化範圍同樣不顯著,在1 173~1 523 K溫度區間表麵張力波動範圍小於20 mN/m。因此,Ni-Yb合金的表麵張力值隨組分和溫度的變化決定合金與LiF-CaF2-Yb2O3體係的分離。
Butler方程如式(5)所示,該方程經過完善後被廣泛應用於二元及三元合金內的表麵張力的預測,經對多種合金體係的驗證,預測值與實驗值較吻合。利用Butler模型,結合Yb、Ni純金屬的標準物理參數,見表2所列,得到圖4所示高於Ni-Yb合金熔點100~600 K和Yb摩爾百分含量0~100%範圍內的表麵張力曲麵預測值。同時,圖4中給出了LiF-CaF2-Yb2O3體係在1 173~1 523 K溫度區間以及Yb2O3質量分數在0~4%範圍內的表麵張力曲麵預測值,當合金中Yb的摩爾分數低於10%時,合金的表麵張力變化梯度大,在600~1 700 mN/m迅速增大。當Yb的摩爾分數高於10%時,合金的表麵張力變化梯度小,在200~600 mN/m範圍內緩慢減小。對比LiF-CaF2-Yb2O3體係的張力曲麵,當合金中Yb的摩爾分數低於10%時,合金與熔鹽的表麵張力差值範圍在340~1 480 mN/m間波動,遠高於熔鹽體係。合金與熔鹽體係潤濕性差,液態合金易於團聚。合金中Yb的摩爾分數高於10%時,合金與熔鹽的表麵張力差值僅在20~340 mN/m小範圍內波動,合金與熔鹽體係潤濕性好,液態合金不易團聚。總體上,在溫度1 173~1 523 K範圍內的LiF-CaF2-Yb2O3體係下,熔鹽體係的黏度相對穩定,Yb摩爾分數高於10%的Ni-Yb合金產物與LiF-CaF2-Yb2O3熔鹽表麵張力差值較小,潤濕性更好,有利於收集。
表2純金屬Ni、Yb的標準物理參數
圖4 Ni-Yb合金與LiF-CaF2-Yb2O3體係表麵張力曲麵對比
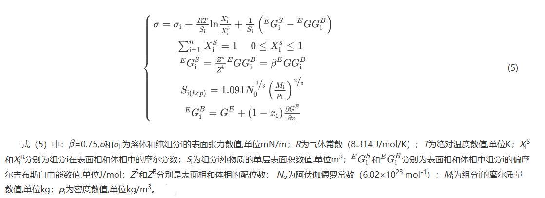
式(5)中:=0.75,σ和σi為溶體和純組分i的表麵張力數值,單位mN/m;R為氣體常數(8.314 J/mol/K);T為絕對溫度數值,單位K;XiS和XiB分別為組分i在表麵相和體相中的摩爾分數;Si為組分i純物質的單層表麵積數值,單位m2;分別為表麵相和體相中組分i的偏摩爾吉布斯自由能數值,單位J/mol;ZS和ZB分別是表麵相和體相的配位數;No為阿伏伽德羅常數(6.02×1023 mol-1);Mi為組分i的摩爾質量數值,單位kg;ρi為密度數值,單位kg/m3。
3結論
1)在1 173~1 523 K範圍內,隨著溫度的升高,LiF-CaF2體係的表麵張力呈線性降低。Santos方程能較好預測LiF-CaF2體係二元熔鹽體係表麵張力和描述表麵相與體相組成的關係;在1 173~1 523 K範圍內,LiF-CaF2-Yb2O3體係表麵張力隨溫度的升高而降低;在Yb2O3的質量分數為1%~4%範圍內,體係的表麵張力先增後減,在質量分數為1%時達到最高。
2)當高於熔點200~600 K範圍內,液態Ni-Yb合金中Yb的摩爾分數低於10%時,其表麵張力在600~1 700 mN/m迅速增大。當Yb的摩爾分數高於10%時,合金的表麵張力在200~600 mN/m範圍內緩慢減小。溫度為1 173~1 523 K範圍內的LiF-CaF2-Yb2O3體係的表麵張力在220~260 mN/m較小範圍內波動,相對穩定,與Yb摩爾分數高於10%的Ni-Yb合金表麵張力差值較小,潤濕性更好。





